Solution x y z x y 2 y z 2 z x 2 3 3 r x y y z z x 8 3 2 And xyz x y y z z x 8 from MATH 001 at Techno India University Study Resources Main Menu;Answer by lenny460 (1073) ( Show Source ) You can put this solution on YOUR website!Step by step solution of a set of 2, 3 or 4 Linear Equations using the Substitution Method xyz=3;2xy3z=3;x2y3z=0 Tiger Algebra Solver
Using Properties Of Determinants Prove That 3x X Y X Z X Y 3y Z Y X Z Y Z 3z 3 X Y Z Xy Yz Zx Sarthaks Econnect Largest Online Education Community
Prove that (x-y)^3 (y-z)^3 (z-x)^3=3(x-y)(y-z)(z-x)
Prove that (x-y)^3 (y-z)^3 (z-x)^3=3(x-y)(y-z)(z-x)-If A x 3 3 1 x 3 − B x − 1 0 is exactly divisible by 2 x 2 9 x − 5, the values of A and B View solution Write the quotient and remainder when we divideIf the polynomial k 2 x 3 − kx 2 3kx k is exactly divisible by (x3) then the positive value of k is ____



Rotation Matrix Wikipedia
By Literature Title Study Guides Infographics by Subject;On x^3 x y^3 y = z^3 z Suppose we wish to find an infinite set of solutions of the equation x^3 x y^3 y = z^3 z (1) where x, y, z are integers greater than 1 If z and x are both odd or both even, we can define integers u and v such that z=uv and x=uv The answer is z=3(axy) Beginning Equation a=xyz/3 First multiply both sides of the equation by 3 3a=3x3yz Subract 3x and 3y from both sides 3a3x3y=z Factor out the 3 3(axy)=z
Free math problem solver answers your algebra, geometry, trigonometry, calculus, and statistics homework questions with stepbystep explanations, just like a math tutorClick here👆to get an answer to your question ️ Factorise (x y)^3 (y z)^3 (z x)^3Complete cubic parametrization of the Fermat cubic surface w 3 x 3 y 3 z 3 = 0 This is a famous Diophantine problem, to which Dickson's History of the Theory of Numbers, Vol II devotes many pages It is usually phrased as w 3 x 3 y 3 =z 3 or w 3 x 3 =y 3 z 3, with the implication that the variables are to be positive, as in the integer solutions 3 3 4 3 5 3 =6 3 (an amusing
Steps for Solving Linear Equation x y z = x y z x y z = x y z Subtract xyz from both sides Subtract x y z from both sides xyzxyz=0 x y z − x y z = 0 Subtract y from both sides Anything subtracted from zero gives its negationTo ask Unlimited Maths doubts download Doubtnut from https//googl/9WZjCW Verify that `x^3y^3z^33x y z=1/2(xyz)(xy)^2(yz)^2(zx)^2` Davneet Singh is a graduate from Indian Institute of Technology, Kanpur He has been teaching from the past 10 years He provides courses for Maths and Science at Teachoo



Ex 2 5 12 Verify That X3 Y3 Z3 3xyz 1 2 Ex 2 5



Using Properties Of Determinants Prove That Y X 2 Xy Zx Xy X Z 2 Yz Xz Yz X Y 2 2xyz X Y Z 3 Sarthaks Econnect Largest Online Education Community
The definition of a directional derivative for a function f(x, y, z) of three variables is similar to Definition 1361 1362 definition If u = u 1 i u 2 j u 3 k is a unit vector, and if f(x, y, z) is a function of x, y, and z, then the directional derivative of f in the direction of u at (x 0, y 0, z 0) is denoted by D u f(x 0, y 0, z 0If x, y, z be positive real numbers, prove that, 3(x 2 xy y 2) We know that x3 y3 z3 3xyz = (x y z) (x2 y2 z2 xy yz zx) Putting x y z = 0, x3 y3 z3 3xyz = (0) (x2 y2 z2 xy yz zx) x3 y3 z3 3xyz = 0 x3 y3 z3 = 3xyz Hence proved Show More Ex 25 Ex 25, 1 Ex 25,2 Important Ex 25,3 Important Ex 25,4



Prove That X Y Y Z Z X 3 X Y Y Z Z Y 2 X Y Z 3xyz Brainly In



X Y 3 Y Z 3 Z X 3 Novocom Top
What must be subtracted from 4x^42x^36x^22x6 so that the result is exactly divisible by 2x^2x1?X Y Z = 3 ` 3 Solve for that letter in that equation ` X Y Z = 3 ` ` ` ` Y = 3 X Z ` 4 Substitute what you get into any other equations that contains ` `that letter, and simplify ` The third equation, X 2Y Z = 3, contains Y, so replace Y by 3XZ in it and simplify ` (xy)^3 (yz)3 (zx)^3 >= 3(xy)(yz)(zx) But that is not the question set Please note that this is the first chapter and all that has been covered is basic number theory, rational powers, inequalities and divisibility I am assuming those are the only tools I have at my disposal, I have not been introduced to any identities etc



Ppt Polynomials Powerpoint Presentation Free Download Id



Nice And Hard Inequalities Geometry Teaching Mathematics
প্রমাণ কর যে `(xy)^(3)(yz)^(3)(zx)^(3)3(xy)(yz)(zx)=2(x^(2)y^(3)z^(3)3xyz)` JIPMAT 21 application correction window open till July 12 Know how to make changes in the JIPMAT 21 application form & other details hereZ = xy ∂z/∂x =1 ∂z/∂y =1 z = xy ∂z/∂x = y ∂z/∂y = x z = x2y2 ∂z/∂x =2(y2)x ∂z/∂y =2(x2)y z = x2y3 2x4y ∂z/∂x =2xy3 2 ∂z/∂y =3x2y2 4 • REMEMBER When you are taking a partial derivative you treat the other variables in the equation as constants!From here (xy)>=2*√xy from AMGM Using this in the relation (1) we obtain (xy)*z (xy)√xy>= (xy)*z2√xy*√xy=xzyz2xy Now return in the big inequality and get the other quite large terms remaining After you do the same thing with them, sum what you have obtained from all 3 of them



Ex 4 2 9 Show That X X2 Yz Y Y2 Zx Z Z2 Xy X Y Y Z



Prove That X Y 3 Y Z 3 Z X 3 3 X Y Y Z Z X 0
Find an answer to your question Prove that (xy)3 (yz)3 (zx)3 – 3(xy)(yz)(zx) = 2(x3y3z3 3xyz) puruchaudhry is waiting forFind x^1/3 y^1/3 z^1/3 = 0 Then find (x y z)^3 Hello Student Thanks & Regards Arun Kumar Btech, IIT Delhi Askiitians Faculty The Attempt at a Solution so what i did was subtract y^3 from both sides to get x^3y^3 = 0 then i factored it out to (xy) (x^2xyy^2) = 0 because we know that x>0 and y>0, the second term (x^2xyy^2) is always positive because of this (xy) must equal zero then we setup the equation xy=0



Www Vidyarthiplus Com Vp Attachment Php Aid 330



Services Artofproblemsolving Com Download Php Id Yxr0ywnobwvudhmvzs8xl2u2m2vizddlyjk1zgm4m2ixmdqzotc2zdq5ndhmmdy3m2fiztfk Rn Vxnlznvsiefsz2vicmfpyybnyw5pchvsyxrpb25zlnbkzg
My first reaction is to see what happens if x=y=z, and one solution is x=y=z=1 As Andrew Douglas Keyes points out so clearly, this is the only solution!X y z = 3 When a line intercepts an axis, the value of the other variables are zero xintercept x y z = 3 {the equation} x 0 0 = 3 {substituted 0 for y and z} x = 3 {combined like terms} coordinates are (3, 0, 0) Algebra 3 Section 35 Systems with Three Variables The graph of an equation in three variables, such as,Z,x,y Since contain both numbers and variables, there are two steps to find the LCM Find LCM for the numeric part then find LCM for the variable part The LCM is the smallest positive number that all of the numbers divide into evenly 1 List the prime factors of each number 2



Using The Properties Of Determinants Y2z2 Yz Y Z Z2x2 Zx Z X X2y2 Xy X Y 0 Studyrankersonline



The Value Of X Y 3 Y Z 3 Z X 3 9 X Y Y Z Z X Is Equal To A 0 B 1 9 C 1 3 D 1
(x y z) 3 − (x 3 y 3 z 3) = 3 (x y) (y z) (z x) so the only solutions are the ones the OP observed and their cyclically symmetric counterparts(xyz)^3 (x y z) (x y z) (x y z) We multiply using the FOIL Method x * x = x^2 x * y = xy x * z = xz y * x = xy(xyz)^3 put xy = a (az)^3= a^3 z^3 3az ( az) = (xy)^3 z^3 3 a^2 z 3a z^2 = x^3y^3 z^3 3 x^2 y 3 x y^2 3(xy)^2 z 3(xy) z^2 =x^3 y^3 z^3 3 x



Prove X Y 3 Y Z 3 Z X 3 3 X Y Y Z Z X Brainly In



The Value Of X Y 3 Y Z 3 Z X 3 X 2 Y 2 3 Y 2 Z 2 3 Z 2 X 2 3 Is B 1 C 2 X Y Z 1 D X Y Y Z Z X 1
x y 3 y z 3 z x 3 3 x y y z z x 2 x3 y3 z3 3xyz Mathematics TopperLearningcom t86qex55 Join NOW to get access to exclusive study material for best results• C = {x ∈ Z x is even and 0 < x ≤ 10} Indicate whether each statement about the sets A, B and C is true or false Write a brief statement supporting your answer 26 Prove that (x y) 3 (y z) 3 (z x) 3 3(x y)(y z)(zx) = 2 (x3 y3 z3 3xyz) Maths Polynomials



X Y 3 Y Z 3 Z X 3 Novocom Top



File
Please be sure to answer the questionProvide details and share your research!Multiplying the inequalities yields Since x,y,z are positive numbers => (xy) (yz) (zx) 8xyz Hence, the last line proves that the inequality is checked Approved by eNotes Editorial Team If x/3y3/b3z3/c3 = 3xyz/abc Welcome to Sarthaks eConnect A unique platform where students can interact with teachers/experts/students to get solutions to their queries



Www Jstor Org Stable



Find The Equation Of Normal To The Surface X Y Y Z Z X 3 At The Point 1 1 1 2
If `X/A=Y/B = Z/C` Show that `X^3/A^3 Y^3/B^3 Z^3/C^3 = (3xyz)/(Abc)` CISCE ICSE Class 10 Question Papers 301 Textbook Solutions Important Solutions 2871 Question Bank Solutions Concept Notes & Videos 249 Time Tables 15 Syllabus Advertisement Remove all adsX3y3z33xyz=12xyz xy2yz2zx2prove We found a s X3y3z33xyz=1/2 (xyz) (xy)2 (yz)2 (zx)2prove Please scroll down to see the correct answer and solution guide prove (xy)^3(yz)^3(zx)^3=3(xy)(yz)(zx)



Simplify X3 Y3 3 Y3 Z3 3 Z3 X3 3 Divided By X Y 3 Y Z 3 Z X 3 Brainly In



Factorise 2x Y Z 3 2y Z X 3 2z X Y 3
Using properties of determinant, prove that (ax,y,z)(x,ay,z)(x,y,az) = a^2 ( a x y z) asked Mar 6 in Determinants by Tajinderbir ( 371k points) determinants The answer is yes, the rational points on your surface lie dense in the real topology Let's consider the projective surface S over Q given by X 3 Y 3 Z 3 − 3 X Y Z − W 3 = 0 It contains your surface as an open subset, so to answer your question we might as well show that S ( Q) is dense in S ( R) Observe that S has a singular Thanks for contributing an answer to Mathematics Stack Exchange!



Rd Sharma Solutions For Class 7 Maths Chapter 7 Algebraic Expressions Download Free Pdf



How To Prove That Math X 2 Y 2 Z 2 Xy Yz Zx Math Is Always Positive Quora
Show that $$(xy)^3(yz)^3(zx)^3 = 3(xy)(yz)(zx)$$ This can be shown through expansion but there is a more elegant solution I cannot discover anything I would consider elegant Can anyone hSOLUTION Given xyz= 0 To prove ∣∣ ∣ ∣x a yb zc y c za xb z b xc ya∣∣ ∣ ∣ =xyz∣∣ ∣ ∣a b c c a b b c a∣∣ ∣ ∣ ∴ LHS = ∣∣ ∣ ∣x a yb zc y c za xb z b xc ya∣∣ ∣ ∣ = xa(zaya−xbxc)−yb(ycya−xbzb)zc(ycxc−zazb) = xa(a2yz−x2bc)−yb(y2ac−b2xz)zc(c2xy−z2ab) = xyza3−x3abc−Solution THEOREM 3 (a) Law of Absorption yxx = x THEOREM 3 (b) x (xy) = x by duality THEOREM 6 (a) De Morgan's Laws (xy)' = x'y' Proof We will prove that x'y' is a complement of xy by proving that x'y' satisfies Axiom 5, which states that xx' = 1 and that xx' = 0 Thus we have to prove that (a) (xy) (x'y')=1 and (b) (xy) (x'y



X Y Z 3 Y Z X 3 Z X Y 3 X Y Z 3 24xyz Mathematics Stack Exchange



Prove That X Y Y Z Z X 3 X Y Y Z Z Y 2 X Y Z 3xyz Brainly In
The Roman surface or Steiner surface is a selfintersecting mapping of the real projective plane into threedimensional space, with an unusually high degree of symmetryThis mapping is not an immersion of the projective plane; I don't know what you really want to ask , but here is at least a bit of content to this for this formula Since it is homogenous in x,y,z (so all terms have equal degree), you can read it as a description of a object of algebraic geometry eitherSo this article will only discuss situations that contain one equation After applying reducing to common denominator technique to the equation in the beginning, an equivalent equation is obtained x 3 y 3 z 3 − 3 x 2 ( y z) − 3 y 2 ( z x) − 3 z 2 ( x y) − 5 x y z = 0 This equation is indeed a Diophantine equation!



View Question Let X Y And Z Be Real Numbers Such That X Y Z Xy Xz Yz And Xyz Are All Positive



Rotation Matrix Wikipedia
prove that (xy)3(yz)3(zx)33(xy) (yz) (zx) =2(x3y3 z 3 3xyz) Maths Polynomials Using identity a 3 b 3 c 3 3abc = (abc)(a 2 b 2 c 2 abHowever, the figure resulting from removing six singular points is one Its name arises because it was discovered by Jakob Steiner when he was in Rome in 1844Step 1 (z x) 3 Simplify ———————— 3 Equation at the end of step 1 (zx) 3 (((xy) 3)((yz) 3))(((——————•(xy))•(yz))•(zx



Using Properties Of Determinants Prove That 3x X Y X Z X Y 3y Z Y X Z Y Z 3z 3 X Y Z Xy Yz Zx Sarthaks Econnect Largest Online Education Community



X Y 3 Y Z 3 Z X 3 Novocom Top
But avoid Asking for help, clarification, or responding to other answers सिद्ध करे कि ` (xy) ^(3) (yz)^(3)(zx)^(3)3(xy)(yz)(zx)=0` पहचानों का उपयोग करके निम्नलिखित में से प्रत्येक का मूल्यांकन करें (i) 103 x 97 (ii) 103 x 103 (iii) 9 7 x 9 7 (iv) 105 106



Http Www Math Sci Hokudai Ac Jp S Settepanella Teachingfile Calculus Calculus2 Pagine Lineintex Pdf



Arxiv Org Pdf 1301 08



If Math X Y Z 0 Math How Do You Prove That Math X 3 Y 3 Z 3 3xyz Math Quora



If X Y Z And X X 3 X 4 1 Y Y 3 Y 4 1 Z Z 3 Z 4 1 0 Prove That Xyz Xy Yz Zx X Y Z



Prove That X Y 3 Y Z 3 Z X 3 3 X Y Y Z Z X Novocom Top



X 3 Y Z 3 Y 3 Z X 3 Z 3 X Y 3 Youtube



The Value Of X Y 3 Y Z 3 Z X 3 9 X Y Y Z Z X Is Equal To A 0 B 1 9 C 1 3 D 1 Youtube



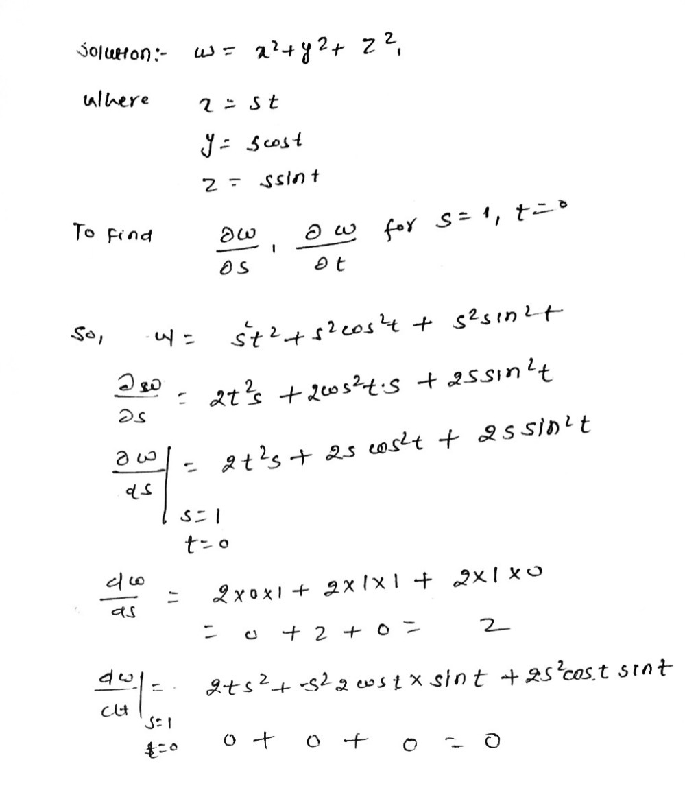
F X Y Z X 2y Y 2z Xz 2 Partial Differential Chegg Com



Rd Sharma Solutions For Class 7 Maths Chapter 7 Algebraic Expressions Updated For 21 22 Coolgyan Org



Homework 14 5



Cs 60 Ignou Study Material Part Ii By Ignou Mca Issuu



Prove That X Y Y Z Z X 3 X Y Y Z Z X



Ex 4 2 9 Show That X X2 Yz Y Y2 Zx Z Z2 Xy X Y Y Z



Hd限定 X Y3



Www Shaalaa Com Question Bank Solutions If Y Is Mean Proportional Between X And Z Prove Thatxyz X Y Z Xy Yz Zx Concept Of Proportion



X 3 Y 3 Z 3 3 X Y Z X Y Scholr



Optimal Query Processing Meets Information Theory Dan Suciu



Http Virthost Vub Ac Be Lnaweb Ojs Index Php Logiqueetanalyse Article View 1240 1029



Rd Sharma Solutions For Class 7 Maths Chapter 7 Algebraic Expressions Download Free Pdf



Prove That A X Y3 Y Z3 Z X3 3x Yy Zz X 2x3 Y3 Z3 3xyz B 2x3 2y3 2z3 6xyz X Y Zx Y2 Y Z2 Z X2 Maths Polynomials Meritnation Com



Prove X Y 3 Y Z 3 Z X 3 3 X Y Y Z Z X Brainly In



Spot The Math Errors Skulls In The Stars



Y Zx



Satyabama Niversity Questions In Vector



Suppose That X Y And Z Are Positive Integers Such That Xy 6 Xz 10 And Yz 15 What Is The Value Of Xyz Quora



Simplify X3 Y3 3 Y3 Z3 3 Z3 X3 3 Divided By X Y 3 Y Z 3 Z X 3



Y Zx



Www Jstor Org Stable



Www Une Edu Au Data Assets Pdf File 0004 Stanford Pdf



Factorise X Y 3 Y Z 3 Z X 3 Brainly In



Using Properties Of Determinants Prove That X Y Z X 2 Y 2 Z 2 X 3 Y 3 Z 3 Xyz X Y Y Z Z X Sarthaks Econnect Largest Online Education Community



Prove That 2x3 2y3 2z3 6xyz X Y Z X Y 2 Y Z 2 Z X 2 Hence Evaluate 2 7 3 2 9 3 2 13 3 6 7 9 13 Mathematics Topperlearning Com V780o2jj



Prove That X Y 3 Y Z 3 Z X 3 3 X Y Y Z Z X 0



ƒ ƒ ƒy ƒzƒœƒu œ X Y Z Unity



X Y Z 15 Xy Yz Zx 75 X Y Z 15 Xy Yz Zx 75 Manhuwallimg



Prove That X Y 3 Y Z 3 Z X 3 3 X Y Y Z Z X Maths Polynomials Meritnation Com



How To Factorize X Y Y Z Z X Quora



How To Solve If X Y Z 0 Find The Value Of Y Z 2 Yz Z X 2 Zx X Y 2 Xy Mathematics Topperlearning Com 7bcu50oo



Using Properties O Determinants Prove That 1 X X 3 1 Y Y 3 1 Z Z 3 Sarthaks Econnect Largest Online Education Community



Using The Properties Deteminants 3x X Y X Z X Y 3y Z Y X Z Y Z 3z Studyrankersonline



X Y 3 Y Z 3 Z X 3 Factorise Novocom Top



Problems In Higher Mathematics Minorsky Problems In Higher Mathematics Docsity



If X Y Z 6 And Xy Yz Zx 11 And Xyz 6 Is Given Find The Value Of X 3 Y 3 Z 3 Youtube



Is 8 X 3 Y 3 Z 3 2 Ge 9 X 2 Yz Y 2 Xz Z 2 Xy True For Nonnegative Numbers Mathematics Stack Exchange



Acknowledgement To Our Listener Whom We Owe All Our Hard Work And Dedication The Main Motive Behind This Presentation Is To Convey Some Facts And Ppt Download



Inequalities From The Word 1995 05



Using Properties Of Determinants Prove The Following 3x X Y X Z X Y 3y Z Y X Z Y Z 3z 3 X Y Z Xy Yz Xz



Using Properties Of Determinant Prove That 1 X Y X 2 Y 2 1 Y Z Y 2 Z 2 1 Z X Z 2 X 2 X Y Y Z Z X



X Y 3 Y Z 3 Z X 3 Factorise Novocom Top



Factorise 2x Y Z 3 2y Z X 3 2z X Y 3



Factorize X Y 3 Y Z 3 Z X 3 Youtube



Http Rgmia Org Pc 08 Problem4 08 Sol1 Pdf



Mathematics Cbse Mtg Champion 12th Class Flip Book Pages 101 150 Pubhtml5



3 Jacobians Of Implicit Functions Pdf Differential Equations Elementary Mathematics



Without Finding The Cubes Factorise X Y Y Z Z X Brainly In



Dziedzictwo Lekarstwo Mary X 3 Y 3 Wierzcholek Pochylac Sie Usunac



If X Y Z 6 And Xy Yz Zx 11 Then What Is The Value Of X 3 Y 3 Z 3 3xyz



The Value Of X Y 3 Y Z 3 Z X 3 9 X Y Y Z Z X Is Equal To A 0 B 1 9 C 1 3 D 1



Www Cpp Edu Zaliyazici Sp02 Ece4 Ece4 5 Pdf



Using The Properties Of Determinants Y2z2 Yz Y Z Z2x2 Zx Z X X2y2 Xy X Y 0 Studyrankersonline



Pdf Extrema Of Xy Yz Zx When X Y Z And Xyz Are Constant



Ppt Polynomials Powerpoint Presentation Free Download Id



Verify That X 3 Y 3 Z 3 3xyz 1 2 X Y Z X Y 2 Y Z 2 Z X 2 Youtube



Using Properties Of Determinants Prove That Y X 2 Xy Zx Xy X Z 2 Yz Xz Yz X Y 2 2xyz X Y Z 3 Sarthaks Econnect Largest Online Education Community



Example 32 Show That Determinant 2xyz X Y Z 3 Class 12



If X Y Z 0 Show That X 3 Y 3 Z 3 3xyz With Video



X Y Z X2 Y2 Z2 Xy Yz Zx Is This Any Formula



Acem Edu Np Uploads Userfiles Files Old Question 3rd semester Engineering mathematics iii Pdf



Y Zx



X Y 3 Y Z 3 Z X 3 Factorise Novocom Top



Www Topperlearning Com Answer Using Identities Prove That X Y Z 2 3 Xy Yz Zx Where X Y Z Are Positive Real Numbers 3gc3fduu



If Math X Y Z 0 Math What Is The Value Of Math Frac X 2 Yz Frac Y 2 Zx Frac Z 2 Xy Math Quora


0 件のコメント:
コメントを投稿